Xin Zhao*, Shuangchao Huang, Peng Zhang, Liang Ling, Jizhong Yang, Zefeng Wen. On the modelling of normal wheel-rail contact for high-frequency vehicle–track dynamics analyses. International Journal of Rail Transportation, 2021.
//doi.org/10.1080/23248378.2021.2004463

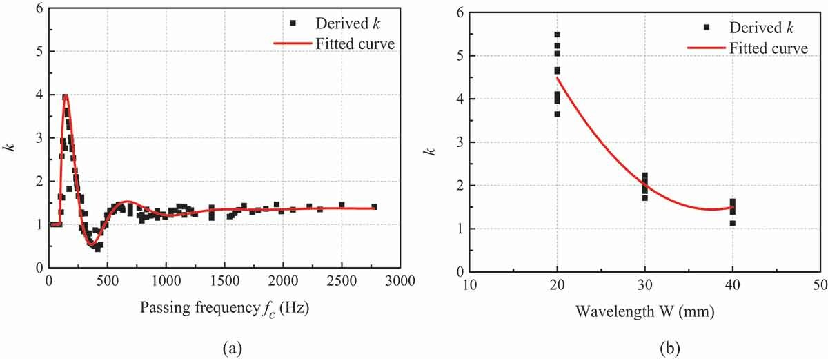
Fig. 13. Fitted curves for cases with wavelengths (a) longer than, and (b) lower and equal to 40 mm.